Trong thiết kế đường ống công nghiệp, đặc biệt là các ống chịu áp lực bên trong, việc xác định chiều dày thành ống tối thiểu là một bước quan trọng để đảm bảo an toàn và tối ưu vật liệu.
Tiêu chuẩn ASME B31.3 – Process Piping quy định nhiều yếu tố ảnh hưởng đến tính toán này, trong đó hệ số Y (Y factor) đóng vai trò điều chỉnh đáng kể kết quả thiết kế.
1. Công thức tính chiều dày ống theo ASME B31.3
Theo phương trình (3a) trong ASME B31.3, chiều dày thiết kế của ống được tính bằng:

Trong đó:
t = Chiều dày thành ống yêu cầu (chưa bao gồm bù ăn mòn)
P = Áp suất thiết kế bên trong ống
D = Đường kính ngoài của ống
S = Ứng suất cho phép của vật liệu ở nhiệt độ thiết kế
E = Hệ số chất lượng ống (phụ thuộc phương pháp chế tạo)
W = Hệ số giảm bền mối hàn
Y = Hệ số hiệu chỉnh được quy định trong ASME B31.3
Ý nghĩa của hệ số Y trong tính toán chiều dày thành ống
Trong thực tế, ứng suất vòng (hoop stress) trong thành ống không phân bố đều – ứng suất tại thành trong cao hơn thành ngoài. Theo phương trình Lamé, nếu chỉ xét giá trị cực đại này mà không áp dụng hệ số Y, kết quả thiết kế sẽ cho ra thành ống dày hơn mức cần thiết, gây lãng phí vật liệu và tăng chi phí chế tạo.
Việc đưa hệ số Y vào công thức giúp:
– Đơn giản hóa phép tính cho các ống có thành mỏng, tránh phải sử dụng mô hình áp lực vỏ dày phức tạp.
– Tối ưu thiết kế, đảm bảo độ bền và an toàn mà vẫn tiết kiệm chi phí.
– Phản ánh đúng thực tế ứng suất, nhờ khả năng phân bố lại ứng suất sau khi vật liệu xảy ra chảy cục bộ.
Khi ống chịu áp lực, phần thành trong của ống chịu ứng suất vòng lớn nhất và có thể biến dạng dẻo cục bộ trước tiên. Tuy nhiên, sự chảy dẻo này không gây phá hủy ngay lập tức mà giúp ứng suất được phân bố lại đều hơn trong toàn bộ thành ống.
Nhờ hiện tượng này, ứng suất thực tế thấp hơn giá trị cực đại theo lý thuyết, do đó ASME cho phép sử dụng hệ số hiệu chỉnh Y < 1 để giảm chiều dày tính toán mà vẫn đảm bảo an toàn.
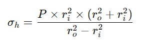
2. Nguồn gốc của hệ số Y – Phương trình Lamé về ứng suất vòng
Cơ sở của phép tính chiều dày ống đến từ phương trình ứng suất vòng của Lamé, mô tả phân bố ứng suất trong thành ống chịu áp suất bên trong:

Trong đó:
σₕ = Ứng suất vòng (hoop stress) tại bán kính bất kỳ
P = Áp suất bên trong ống
rᵢ, rₒ = Bán kính trong và ngoài của ống
Từ phương trình trên có thể thấy, ứng suất tại thành trong (rᵢ) luôn lớn hơn so với thành ngoài (rₒ) – nghĩa là ứng suất không phân bố đều. Nếu thiết kế dựa hoàn toàn vào giá trị cực đại này, thành ống sẽ bị tính quá dày và không tối ưu về vật liệu.
Để khắc phục, ASME B31.3 đưa vào hệ số Y nhằm hiệu chỉnh sai khác giữa ứng suất thực tế và ứng suất lý thuyết, phản ánh đúng khả năng phân bố lại ứng suất của vật liệu sau khi xảy ra chảy cục bộ.
3. Giá trị hệ số Y trong ASME B31.3
Theo bảng dữ liệu trong tiêu chuẩn, khi nhiệt độ tăng, giá trị hệ số Y của một số vật liệu cũng tăng lên. Điều này có nghĩa là tiêu chuẩn ASME B31.3 cho phép linh hoạt hơn trong việc tính toán chiều dày ống ở nhiệt độ cao, do đặc tính cơ học của vật liệu thay đổi trong điều kiện này.

Khi nhiệt độ tăng, vật liệu trở nên mềm hơn, khả năng chảy dẻo và phân bố ứng suất tốt hơn → Y tăng → cho phép giảm chiều dày thành ống.
Với gang xám (Gray Iron), Y = 0, do vật liệu giòn, không có khả năng biến dạng dẻo, dễ gãy vỡ đột ngột → tiêu chuẩn không cho phép giảm chiều dày.
Với kim loại màu dẻo (non-ferrous ductile metals) như đồng, nhôm,… Y giữ nguyên ở mọi nhiệt độ, vì bản chất vật liệu đã mềm và có khả năng phân bố ứng suất tốt ngay từ đầu.
Nguồn dịch và tham khảo từ: https://whatispiping.com/importance-of-y-factor-asme-b31-3/
